Is my very fine grid resolution leading to blow ups?
-
- Posts: 54
- Joined: Wed Jan 07, 2015 2:48 pm
- Location: University of California, Irvine
Is my very fine grid resolution leading to blow ups?
Dear ROMS community,
Can ROMS handle a grid resolution (rho points) where dx = dy = 10 m, but dz is as small as 0.14 m in the very nearshore-most cells (30 vertical levels)?
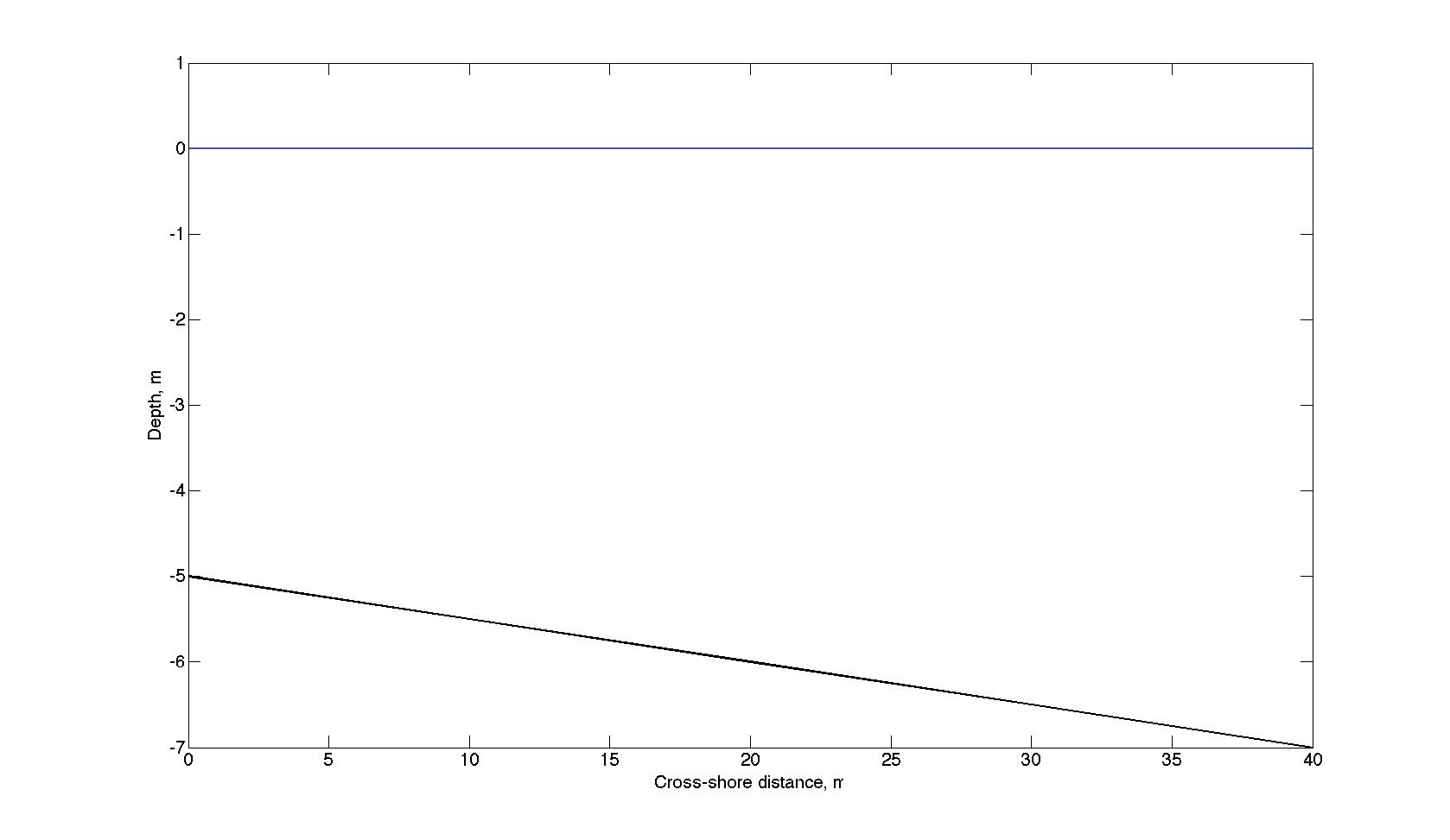
A transect image of the first ~100 m of my grid (an idealized 3D wedge shape, with a bottom slope of 0.05, and everything alongshore is uniform) is attached.
The reason why I ask is because my runs keep blowing up after ~21 days of simulation time. I can post more specific information if required, but essentially the only forcing is a sinusoidal analytical expression for shortwave radiation, and the fluid is initially at rest. There are no winds/tides/waves/rotation effects.
The u,v, and w Courant numbers I see upon blow up are 1.408341E+00, 8.389238E-03, 1.097111E+01, and the blow up always happens at the nearshore most cells.
I've been manipulating my time step and ndtfast values; thus far I've tried dt = 5 s with ndtfast = 80, which blew up after ~25 days, and also dt = 2 s with ndtfast = 20, which blew up after ~21 days. Initially, I tried dt = 5 s with ndtfast = 30, which blew up immediately.
My suspicion is that my vertical grid resolution in the nearshore is too fine; any opinions will be greatly appreciated it.
Thanks,
-aryan
Can ROMS handle a grid resolution (rho points) where dx = dy = 10 m, but dz is as small as 0.14 m in the very nearshore-most cells (30 vertical levels)?
A transect image of the first ~100 m of my grid (an idealized 3D wedge shape, with a bottom slope of 0.05, and everything alongshore is uniform) is attached.
The reason why I ask is because my runs keep blowing up after ~21 days of simulation time. I can post more specific information if required, but essentially the only forcing is a sinusoidal analytical expression for shortwave radiation, and the fluid is initially at rest. There are no winds/tides/waves/rotation effects.
The u,v, and w Courant numbers I see upon blow up are 1.408341E+00, 8.389238E-03, 1.097111E+01, and the blow up always happens at the nearshore most cells.
I've been manipulating my time step and ndtfast values; thus far I've tried dt = 5 s with ndtfast = 80, which blew up after ~25 days, and also dt = 2 s with ndtfast = 20, which blew up after ~21 days. Initially, I tried dt = 5 s with ndtfast = 30, which blew up immediately.
My suspicion is that my vertical grid resolution in the nearshore is too fine; any opinions will be greatly appreciated it.
Thanks,
-aryan
Re: Is my very fine grid resolution leading to blow ups?
I think we still need to know more. Yes, ROMS can handle very small grid spacing and very shallow depths - there was a test problem mimicking a rotating tank experiment with millisecond timesteps.
What is the water depth when it blows up? Which field goes bad first and in what way?
What is the water depth when it blows up? Which field goes bad first and in what way?
-
- Posts: 54
- Joined: Wed Jan 07, 2015 2:48 pm
- Location: University of California, Irvine
Re: Is my very fine grid resolution leading to blow ups?
Thanks Kate, good to know about the test problem.
As far as I can tell, the u, v, w velocities, as well as temperature field, are not behaving abnormally.
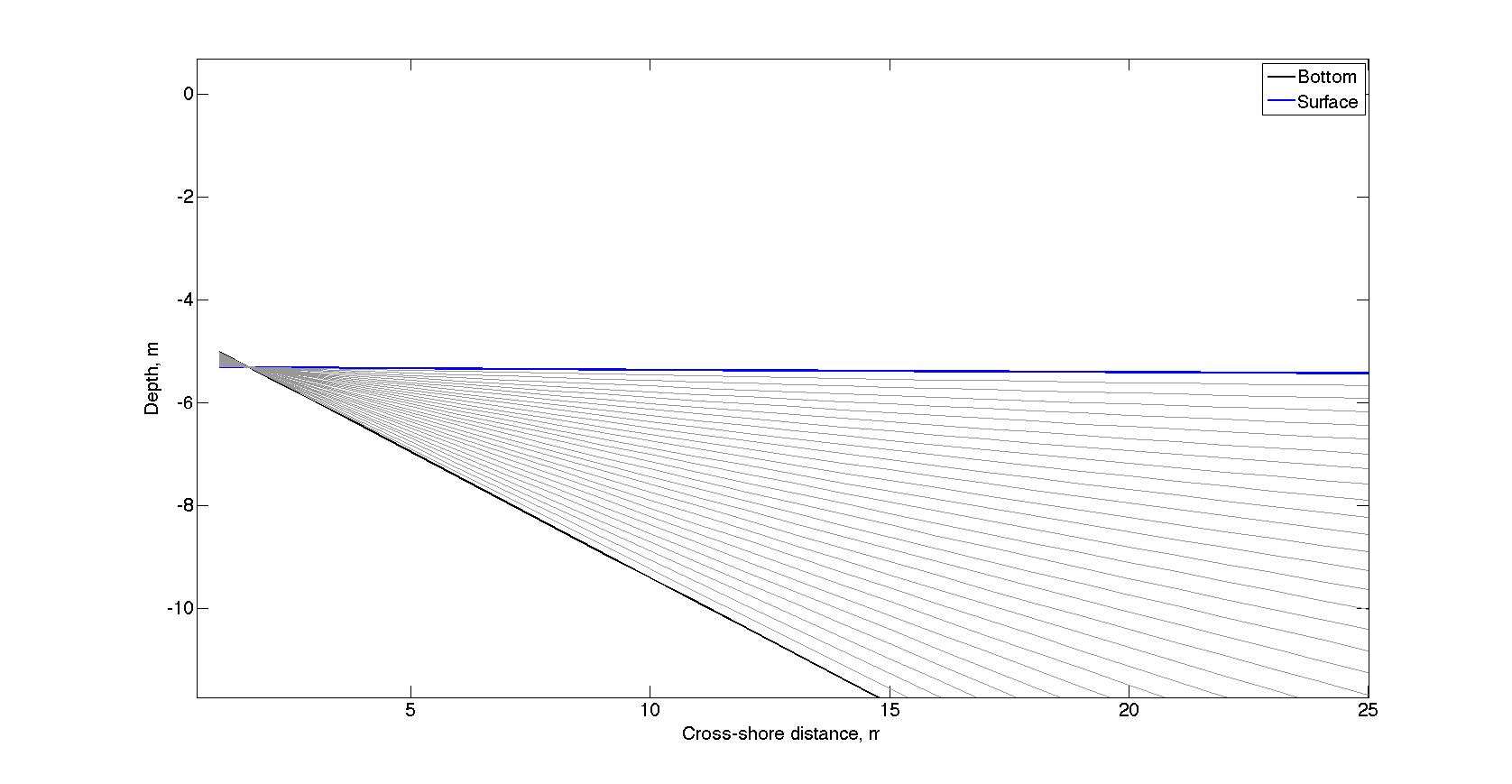
The only striking thing I can say for now is that somewhere down the line, the depth in the nearshore-most cells become inverted (pictures of the depths at the first and last time steps attached). Assuming this isn't a plotting error on my part, has something like this ever been seen?
I've also attached the run log just in case.
Thanks,
As far as I can tell, the u, v, w velocities, as well as temperature field, are not behaving abnormally.
The only striking thing I can say for now is that somewhere down the line, the depth in the nearshore-most cells become inverted (pictures of the depths at the first and last time steps attached). Assuming this isn't a plotting error on my part, has something like this ever been seen?
I've also attached the run log just in case.
Thanks,
- Attachments
-
run.log
- (64.67 MiB) Downloaded 926 times
Re: Is my very fine grid resolution leading to blow ups?
Yes, of course we've seen it. So, do you have some reason to expect the surface elevation to fall so much without winds or tides? I have both, so am not surprised at all in my domain. I had one run for years until a storm surge drained a bay and I had to turn on the WET_DRY flag, but you've got something else going on. I'm going to let you look at your total volume in the log file to see if it's declining in some bizarre fashion.
-
- Posts: 54
- Joined: Wed Jan 07, 2015 2:48 pm
- Location: University of California, Irvine
Re: Is my very fine grid resolution leading to blow ups?
Thanks for the heads up.
After looking at the log file, the volume is indeed decreasing; it starts at 642,213,000 m3 and ends at approximately 615,710,000 m3 before the blow up.
This makes me curious then: am I loosing water because my (offshore) boundary condition is set to radiation, and I periodically have cold gravity currents traversing the domain towards the offshore end? And should I look into defining RADIATION_2D or imposing volume conservation?
Thanks,
After looking at the log file, the volume is indeed decreasing; it starts at 642,213,000 m3 and ends at approximately 615,710,000 m3 before the blow up.
This makes me curious then: am I loosing water because my (offshore) boundary condition is set to radiation, and I periodically have cold gravity currents traversing the domain towards the offshore end? And should I look into defining RADIATION_2D or imposing volume conservation?
Thanks,
Re: Is my very fine grid resolution leading to blow ups?
I always use the RadNud option on 3-d fields, the Chapman/Shchepetkin combo on 2-d field. I use RADIAION_2D always, never the VOLCONS stuff. I always have field to nudge to from some larger model domain. If you try other things you will just have to explore to see what works for you.
-
- Posts: 54
- Joined: Wed Jan 07, 2015 2:48 pm
- Location: University of California, Irvine
Re: Is my very fine grid resolution leading to blow ups?
Thanks for the suggestion.
I'll try these different BC's and share any successes/failures.
I'll try these different BC's and share any successes/failures.
-
- Posts: 54
- Joined: Wed Jan 07, 2015 2:48 pm
- Location: University of California, Irvine
Re: Is my very fine grid resolution leading to blow ups?
Hi again,
just a kind of philosophical question;
In order to implement the Shc boundary condition, after looking at files like u2dbc_im.F and v2dbc_im.F, I either have to define SSH_TIDES or UV_TIDES, or have to have some exterior value; I'm not yet ready or comfortable (i.e. I have no justification) for doing any of these yet because I'm trying to maintain as simple and idealized a simulation as possible with only swrad as the forcing;
so instead of selecting the Flather, Radiation, or Shchepetkin boundary conditions for my 2-D momentum fields at my offshore end, why don't I just set it to Gradient instead? My grid, by design, is long in the eta (offshore) direction, because I'm only interested in a small region in the nearshore.
Thanks,
just a kind of philosophical question;
In order to implement the Shc boundary condition, after looking at files like u2dbc_im.F and v2dbc_im.F, I either have to define SSH_TIDES or UV_TIDES, or have to have some exterior value; I'm not yet ready or comfortable (i.e. I have no justification) for doing any of these yet because I'm trying to maintain as simple and idealized a simulation as possible with only swrad as the forcing;
so instead of selecting the Flather, Radiation, or Shchepetkin boundary conditions for my 2-D momentum fields at my offshore end, why don't I just set it to Gradient instead? My grid, by design, is long in the eta (offshore) direction, because I'm only interested in a small region in the nearshore.
Thanks,
Re: Is my very fine grid resolution leading to blow ups?
"Simple" in boundary condition land is closed or periodic, perhaps clamped. Fla/Shc can work well for barotropic flows, but as you say, they depend on exterior values. In the MOM6 circle_obcs test they use it anyway and set all those exterior values to zero, which at least has the benefit of not draining your domain.
-
- Posts: 54
- Joined: Wed Jan 07, 2015 2:48 pm
- Location: University of California, Irvine
Re: Is my very fine grid resolution leading to blow ups?
Hi Kate,
Thanks again for your assistance; you work wonders!
I just wanted to share that the free surface no longer appreciably drops (first and last time step transects attached), and my volume is approximately conserved (first time step volume = 6.422130E+08; last time step volume, 28 days later, = 6.422072E+08), after I changed my offshore boundary conditions to the following (previously they were all Rad):
Zeta: Cha
2D u,v: Shc
3D u,v: Rad
miking TKE & tracers: Gra;
I also had similar success with setting the 2D momentum BC's to Flather.
Best
Thanks again for your assistance; you work wonders!
I just wanted to share that the free surface no longer appreciably drops (first and last time step transects attached), and my volume is approximately conserved (first time step volume = 6.422130E+08; last time step volume, 28 days later, = 6.422072E+08), after I changed my offshore boundary conditions to the following (previously they were all Rad):
Zeta: Cha
2D u,v: Shc
3D u,v: Rad
miking TKE & tracers: Gra;
I also had similar success with setting the 2D momentum BC's to Flather.
Best